代码:600592 简称:龙溪股份 编号:2021-001
福建龙溪轴承(集团)股份有限公司
关于委托理财的进展公告
本公司董事会及全体董事保证本公告内容不存在任何虚假记载、误导性陈述或者重大遗漏,并对其内容的真实性、准确性和完整性承担个别及连带责任。
重要内容提示:
委托理财受托方:厦门银行股份有限公司(以下简称“厦门银行”)。
本次委托理财金额:委托厦门银行理财8,000万元。
委托理财产品名称:结构性存款CK2102086。
委托理财期限:2021年1月22日-2021年3月31日共68天。
履行的审议程序:公司七届十八次董事会审议通过《关于拟使用自有资金投资理财产品的议案》,具体详见公司2020年4月30日刊登在上海交易所网站及上海报《龙溪股份关于拟使用自有资金投资理财产品的公告》(2020-013)。
一、本次委托理财概况
(一)委托理财目的
为提高资金使用效率,公司在确保不影响生产经营资金需求的前提下,拟使用自有资金购买安全性高、流动性好、本金安全的理财产品。
(二)资金来源
本次委托理财的资金来源为公司闲置自有资金。
(三)委托理财产品的基本情况
(四)公司对委托理财相关风险的内部控制
公司将风险控制放在首位,对理财产品投资严格把关,谨慎投资。
1.投资风险
尽管理财产品属于低风险投资品种,但金融市场受宏观经济的影响较大,公司将根据经济形势以及金融市场的变化适时适量介入,但不排除该项投资受到市场波动的影响。
2.针对投资风险,拟采取措施如下;
(1)公司将及时分析和跟踪理财产品投向、项目进展情况,一旦发现或判断有不利因素,将及时采取相应的保全措施,控制投资风险;若出现产品发行主体财务状况恶化、所投资的产品面临亏损等重大不利因素时,公司将及时予以披露。
(2)公司审计部负责对低风险投资理财资金使用与保管情况的审计与监督,每个季度末应对所有理财产品投资项目进行全面检查,并根据谨慎性原则,合理的预计各项投资可能发生的收益和损失,并向审计委员会报告。
(3)独立董事、监事会有权对资金使用情况进行监督与检查,必要时可以聘请专业机构进行审计。
(4)公司将依据中国证监会、上海交易所的相关规定,在定期报告中披露报告期内理财产品的购买以及损益情况。
公司本次购买的理财产品符合董事会和公司内部资金管理的要求。
二、本次委托理财的具体情况
(一)委托理财合同主要条款
厦门银行委托理财产品资金投向与SHAU(黄金)挂钩。
三、委托理财受托方的情况
本次委托理财受托方为厦门银行股份有限公司。厦门银行股份有限公司为上海交易所上市金融机构(代码为:601187),厦门银行与公司、公司控股股东及实际控制人不存在关联关系,上述理财受托方并非为本次交易专设。
四、对公司的影响
(一)公司最近一年又一期的主要财务情况如下:
(二)理财业务对公司的影响
公司本次拟使用自有资金投资本金安全的理财产品,是在保障企业生产经营活动资金需求并兼顾资金安全的前提下进行的,不会影响公司日常资金的正常周转,不会影响公司主营业务的正常发展。使用自有资金投资理财产品,可以获得一定的投资收益,提高资金使用效率和效益,有利于提升公司业绩水平,为股东谋取较好的投资回报。
(三)会计处理
根据新金融工具准则,公司将理财产品列示为“交易性金融资产”。
五、风险提示
公司本次购买的保本浮动收益型结构性存款产品属于低风险型产品,但金融市场受宏观经济影响较大,不排除该项投资受到市场风险、政策风险、流动性风险、不可抗力风险等因素而影响预期收益。
六、决策程序的履行
公司理财事项决策程序。2020年4月28日,公司召开七届十八次董事会,审议通过《关于拟使用自有资金投资理财产品的议案》,同意公司在不影响生产经营资金需求的前提下,使用总额不超过人民币50,000万元(含50,000万元)的暂时闲置自有资金投资安全性高、流动性好、本金安全的理财产品,上述资金使用期限不超过2022年6月30日,公司可在使用期限及额度范围内滚动投资。公司七届十三次监事会审议同意公司本次拟使用自有资金投资理财产品的议案。
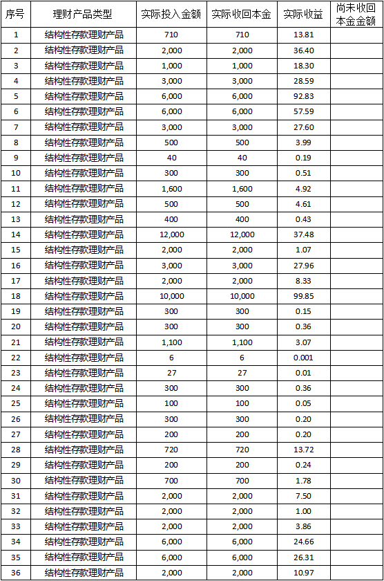
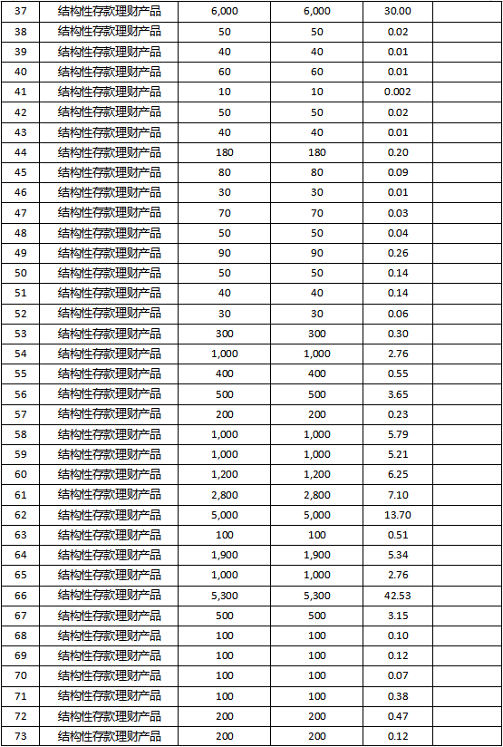
七、截至本公告日,公司最近十二个月使用自有资金或募集资金委托理财的情况
金额:万元
特此公告。
福建龙溪轴承(集团)股份有限公司
董 事 会
2021年1月22日






